Home Favorites My Account Menu
Accedere
Annuncio

Scarica il foglio di lavoro

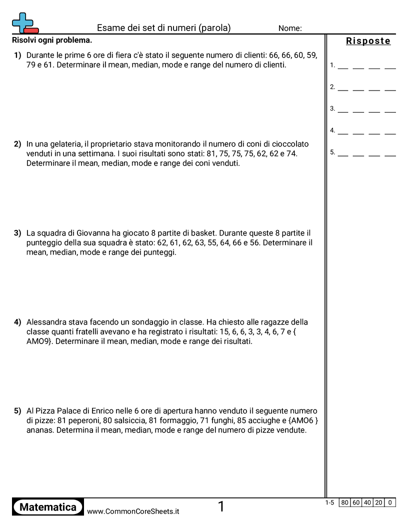
Schede di lavoro gratuite di math per 1ª Media (6sp5c) su Esame dei set di numeri (parola). Ogni scheda contiene 5 esercizi con soluzioni ed è ideale per insegnanti e istruzione a casa. Puoi scaricare il PDF, creare flashcard o impostarlo per l'apprendimento online.

Select a Different Activity >
Informazioni sul foglio >
Esaminare insiemi di numeri (testo)
Apri PDF
personalizzare anteprima
(clic destro per salvare / scaricare)
apri in una nuova finestra
Seleziona Foglio di lavoro
pagine
linguaggio
Select Problem Type
Personalizza problemi
×
Trova il
Opzioni della media
Opzioni della mediana
Save
Disposizione del foglio>
Seed
titolo
Istruzioni
Numero di problemi
Scadenza
Includi standard sul foglio
Font
Dimensione del font pt
Spazio minimo sotto i problemi mm
Colonna risposta
Problem Number
orientamento del foglio
Annuncio